LELONG MARIUS

LA PHYSIQUE MARIANIQUE

newton1689

LA PHYSIQUE NEOCLASSIQUE MARIANIQUE

La physique néoclassique marianique représente la physique classique newtonienne complétée par une nouvelle structuration de la matière (la macromatière et l’inframatière) et elle est la seule et la véritable description de la réalité physique. On reprend quelques rélationes  principales comme les équations du champ gravitationnel Grossmann-Einstein, celle de Schrodinger et par cela une grande partie des résultats  théorétiques et expérimentaux actuels mais avec une interprétation et utilisation complètement différente. Elle est réaliste, déterministe, locale et surtout rationnelle. 

Les lois des phénomènes qu’on observe sont une composition des lois au niveau de l’inframatière (transformation de Lorentz, addition des ondes quantiques…) et des lois au niveau de la macromatière (transformation de Galilée, cinématique newtonienne…). Les premières apparaissent souvent comme des perturbations pour les deuxièmes, tandis qu’en réalité elles représentent une sous couche effectrice. 

Le monde n’est pas quantique, il est (néo)classique !


Neoclassical_physics_as_theory_of_everything

https://www.researchgate.net/publication/400385665_Lelong_neoclassical_physics_as_theory_of_everything

——————————————————————————————————————————————————————————–

http://vixra.org/abs/2406.0098                       

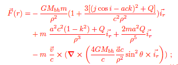
2406.0098v1.pdf (vixra.org)                Quantum gravity in neoclassical physics

 

Quantum gravity in neoclassical physics ; Φ = GM/r

\\     \\

Avec une modification minime de la loi de Newton et des transformations de Lorentz, on obtient tous les résultats observationnels de la relativité générale, dans un cadre rationnel et réaliste.

 —————————————————————————————————————————————————————————————————————–

\*

https://vixra.org/abs/2303.0070https://vixra.org/pdf/2303.0070v1.pdf

Les fondements de la physique contemporaine ont été élaborés par quelques exaltés. Ils ont ouvert grandement la porte à l’irrationalité dans la science. Leur démarche a été en phase et par cela favorisée par une modification de la structure de la société humaine qui a basculée dans le sensationnalisme. Ils ont voulu rompre avec une Tradition réflexive millénaire. 

Ce site a été crée sur la base d’un livre que j’ai publié en 2020 et dans lequel j’ai montré l’écart de rationalité de la physique moderne par rapport à la vrai description du monde qui est la physique newtonienne. Sans surprise mon bouquin a été complétement ignoré par mainstream academia.

La physique néoclassique marianique cherche a restaurer le paradigme du classicisme en science !

\\*

Savoie,

12 Mai 2021